Ti-13Nb-13Zr

From EVOCD
Jump to: navigation, search

Contents

MSF Calibration

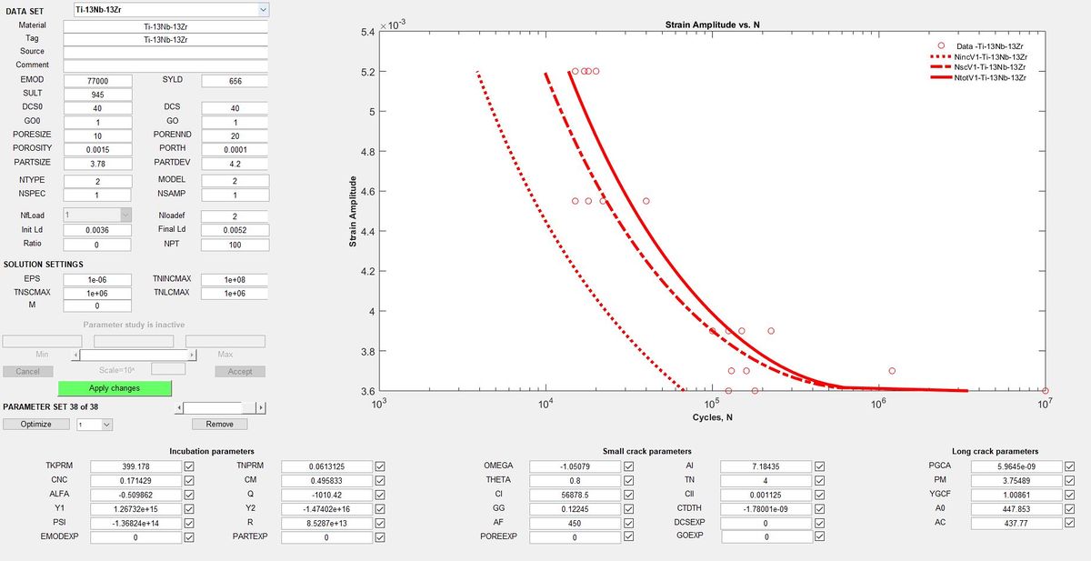
Ti13Nb13Zr Cal Param.JPG

Input

File:Ti13nb13zr.txt

Output

File:Ti13nb13zr MSF2.txt

References

[1] C. W. Lin, C. P. Ju, and J. H. Chern Lin, “A comparison of the fatigue behavior of cast Ti-7.5Mo with c.p. titanium, Ti-6Al-4V and Ti-13Nb-13Zr alloys,” Biomaterials, vol. 26, no. 16, pp. 2899–2907, 2005.

Personal tools
Namespaces

Variants
Actions
home
Materials
Material Models
Design
Resources
Projects
Education
Toolbox