StE 460 Low Alloy Steel

From EVOCD
Jump to: navigation, search

All material data used in this MSF calibration was gathered through Google Books.[1]

Contents

MSF Calibration

StE 460 Figure.JPG

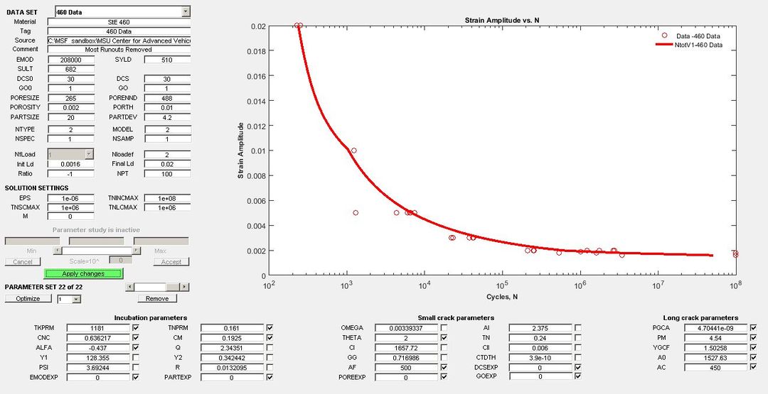
MSF Screen Capture

StE 460 Screen Shot.JPG

Input

File:StE 460 Data Set MSF2.txt

Output

File:StE 460 Post Process File MSF2.txt

References

  1. Boller, CHR.; Seeger, T., "Materials Data For Cyclic Loading Part B: Low-Alloy Steels". Amsterdam: Elsevier Science Publishers B.V, 1987. Google Books. Web. 8 Mar. 2018 http://books.google.com
Personal tools
Namespaces

Variants
Actions
home
Materials
Material Models
Design
Resources
Projects
Education
Toolbox