Nickel-Base Superalloy

From EVOCD
Jump to: navigation, search

Contents

MSF Calibration

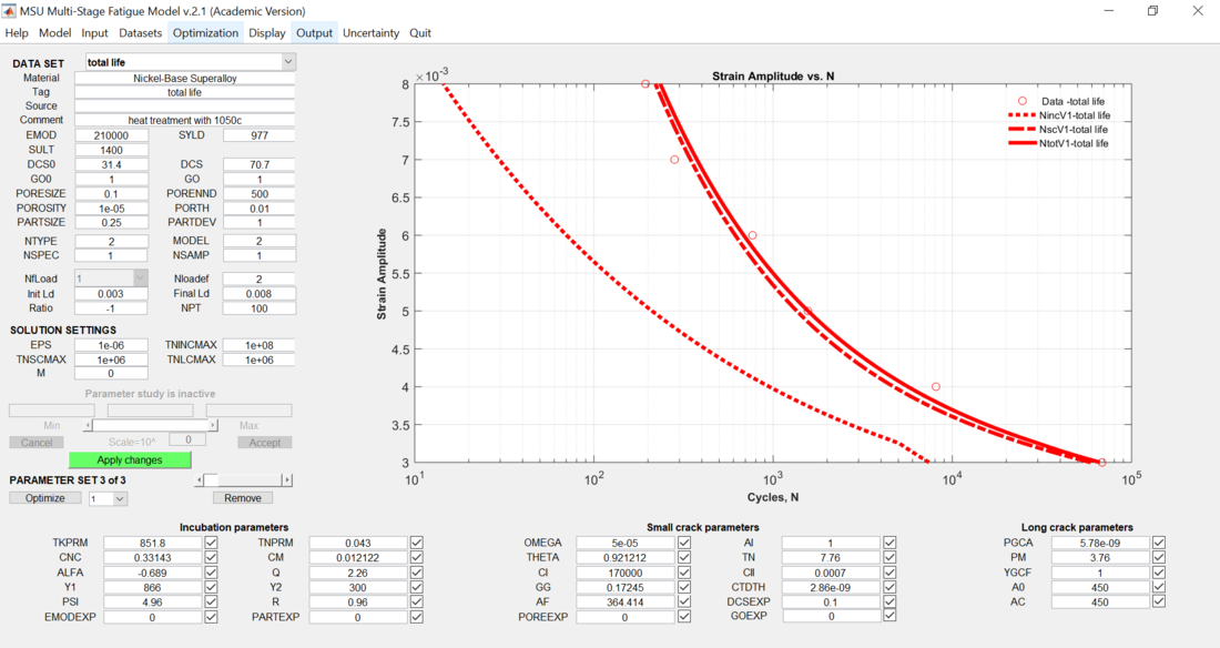
Capture-MSF-NiAlloy.PNG

MSF Figure

MSF-Figure-Nickle-Based Superalloy.PNG

Input File

File:Nickle-Based-Superalloy.txt

Post-processing File

File:Nickle-Based-Superalloy-output MSF2.txt

Reference

Peng Zhang, Qiang Zhu, Gang Chen, Heyong Qin, Chuanjie Wang, "Effect of Heat Treatment Process on Microstructure and Fatigue Behavior of a Nickel-Base Superalloy", Materials 2015, 8, 6179-6194

Personal tools
Namespaces

Variants
Actions
home
Materials
Material Models
Design
Resources
Projects
Education
Toolbox