HSLA Steel- Cb-V

From EVOCD
Jump to: navigation, search

Contents

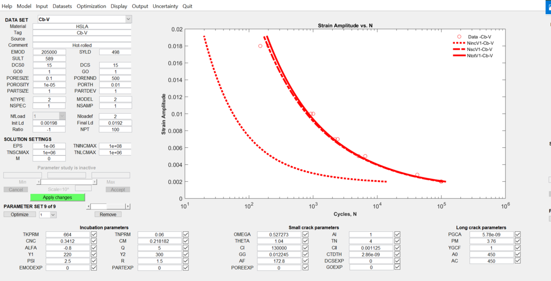
MSF Calibration

Capture-MSF-HSLA-Cb-V.PNG

MSF Figure

MSF-Figure-HSLA-Cb-V.PNG

Input File

File:HSLA-Cb-V input.txt

Post-processing File

File:HSLA-Cb-V output MSF2.txt

Reference

H. E. Boyer, “Atlas of Fatigue Curves,” p. 518, 1985.

Personal tools
Namespaces

Variants
Actions
home
Materials
Material Models
Design
Resources
Projects
Education
Toolbox