HAYNES 230 alloy

From EVOCD
Jump to: navigation, search

Contents

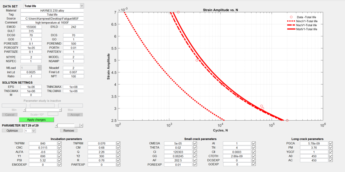
MSF Calibration

Capture-MSF-Hayne230.PNG

MSF Figure

MSF-Figure-Haynes230.PNG

Input File

File:Hayne230-input.txt

Post-processing File

File:Hayne230-output MSF2.txt

Reference

L. J. Chen, Y. H. He, P. K. Liaw,"High-Temperature Low-Cycle Fatigue Behavior of HAYNES 230 Superalloy", Superalloys 2000, 573-581

Personal tools
Namespaces

Variants
Actions
home
Materials
Material Models
Design
Resources
Projects
Education
Toolbox