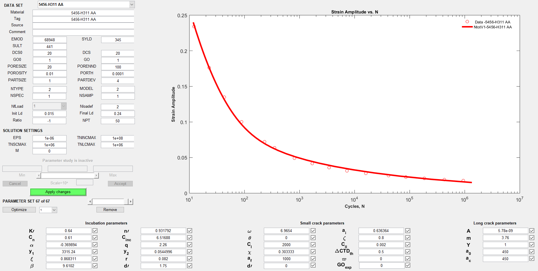
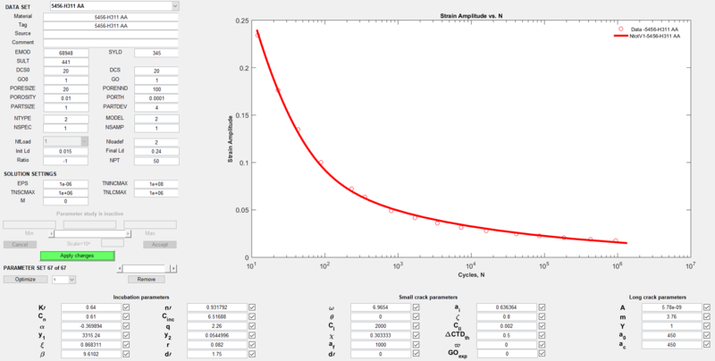
File:5456-H311 AA MSF Calibration.PNG
From EVOCD
Size of this preview: 800 × 404 pixels.
Full resolution (1,835 × 926 pixels, file size: 81 KB, MIME type: image/png)
File history
Click on a date/time to view the file as it appeared at that time.
| Date/Time | Thumbnail | Dimensions | User | Comment | |
|---|---|---|---|---|---|
| current | 07:06, 10 April 2018 | 1,835 × 926 (81 KB) | Slk269 (Talk | contribs) |
- Edit this file using an external application (See the setup instructions for more information)
File usage
The following page links to this file: