5456-H311

From EVOCD
Jump to: navigation, search

Contents

MSF Calibration for 5456-H311

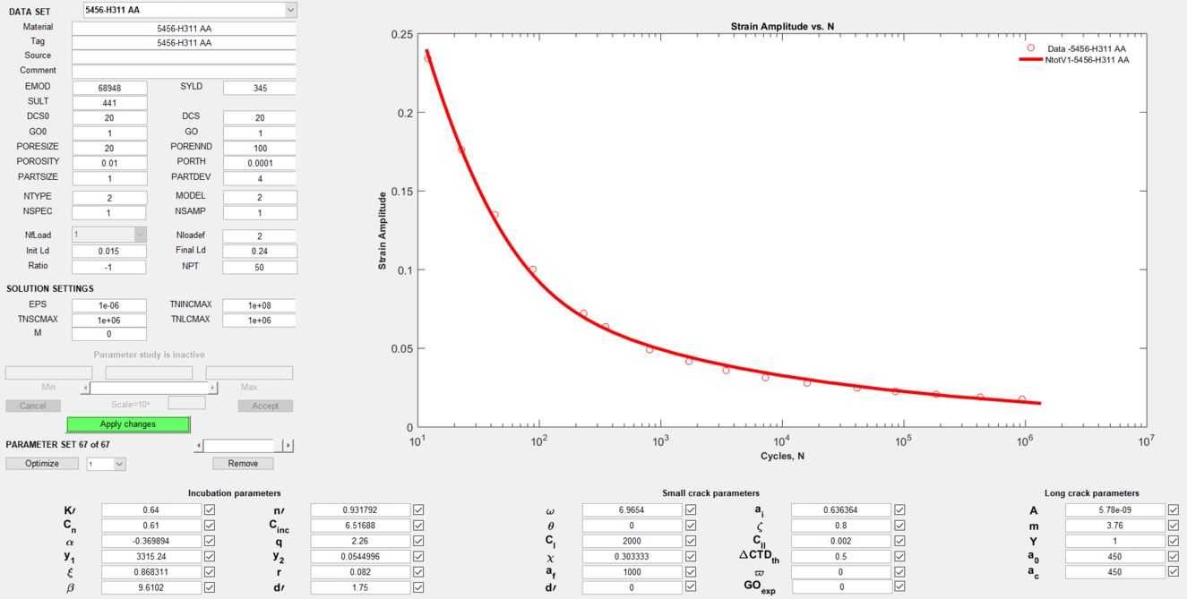
MSF Calibration Screenshot

5456-H311 AA MSF Calibration.PNG

MSF Model

5456-H311 AA MSF Model.PNG

Input and Output Files

File:Input.data.txt [1]

File:Output MSF2.txt

References

  1. Smith, Robert W., et al. “Fatigue Behavior of Materials Under Cycling in Low and Intermediate Life Range.” NASA Technical Note D-1574, Apr. 1963.
Personal tools
Namespaces

Variants
Actions
home
Materials
Material Models
Design
Resources
Projects
Education
Toolbox