CP-Ti

From EVOCD
Jump to: navigation, search

Contents

MSF Calibration

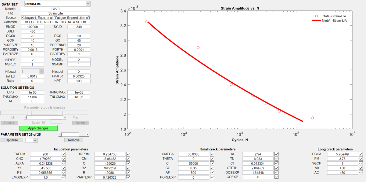
CP-Ti Screenshot.PNG

Input

File:CP-Ti Data.txt

Output

File:CP-Ti Output MSF2.txt

References

Kobayashi, Equo, et al. "Fatigue life prediction of biomedical titanium alloys under tensile/torsional stress." Materials transactions 47.7 (2006)

Personal tools
Namespaces

Variants
Actions
home
Materials
Material Models
Design
Resources
Projects
Education
Toolbox