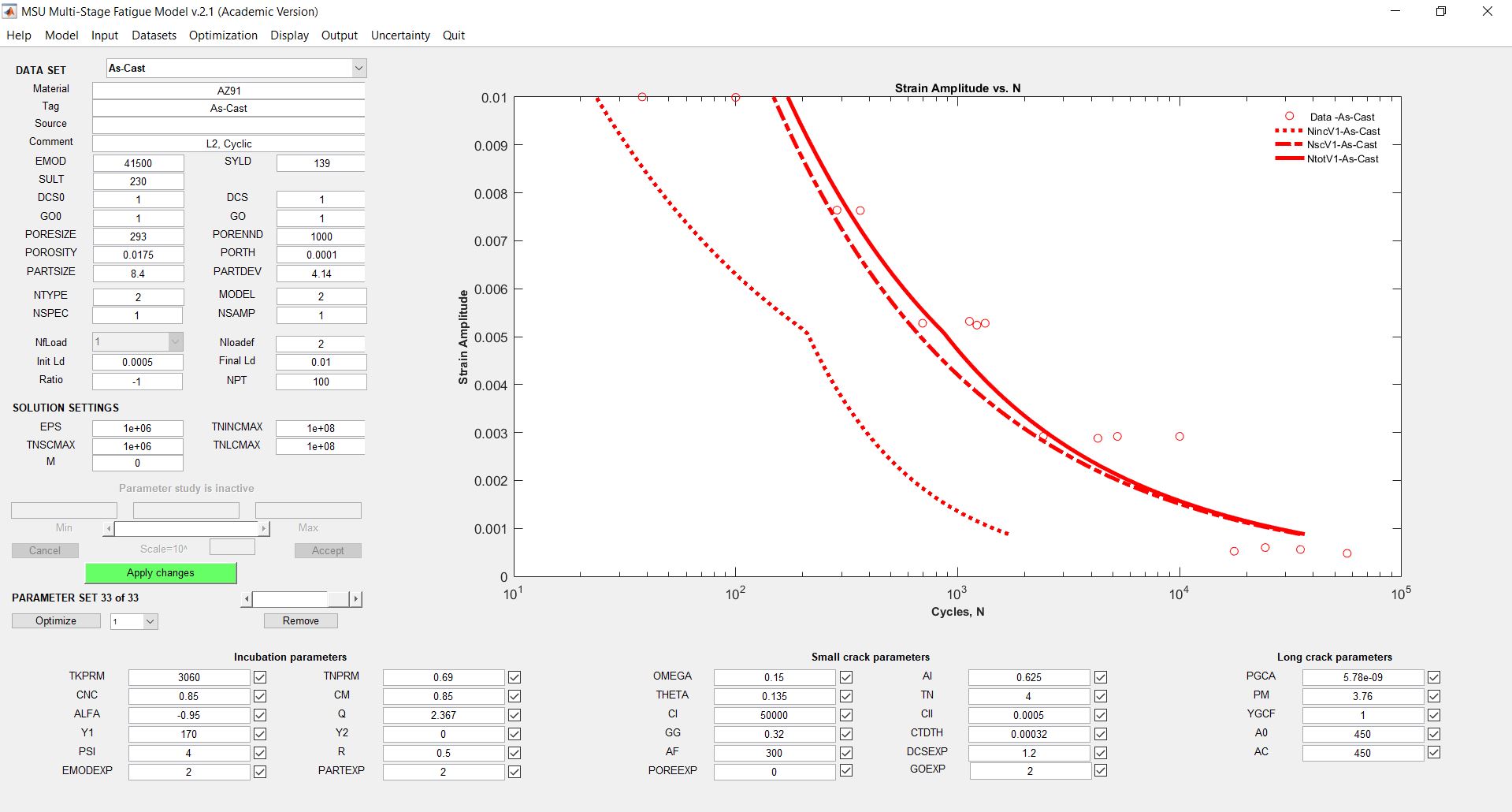
AZ91 As-Cast

From EVOCD
Jump to: navigation, search

MSF Calibration

AZ91 Cast Final.JPG As cast.JPG

Data File

File:AZ91 Cast Input ICME.txt

Reference

Rettberg, L. H., Jordon, J. B., Horstemeyer, M. F., & Jones, J. W. (2012). Low-Cycle Fatigue Behavior of Die-Cast Mg Alloys AZ91 and AM60. Metallurgical and Materials Transactions A, 43(7), 2260–2274. https://doi.org/10.1007/s11661-012-1114-8

Personal tools
Namespaces

Variants
Actions
home
Materials
Material Models
Design
Resources
Projects
Education
Toolbox