AISI 4027
From EVOCD
Jump to:
navigation
,
search
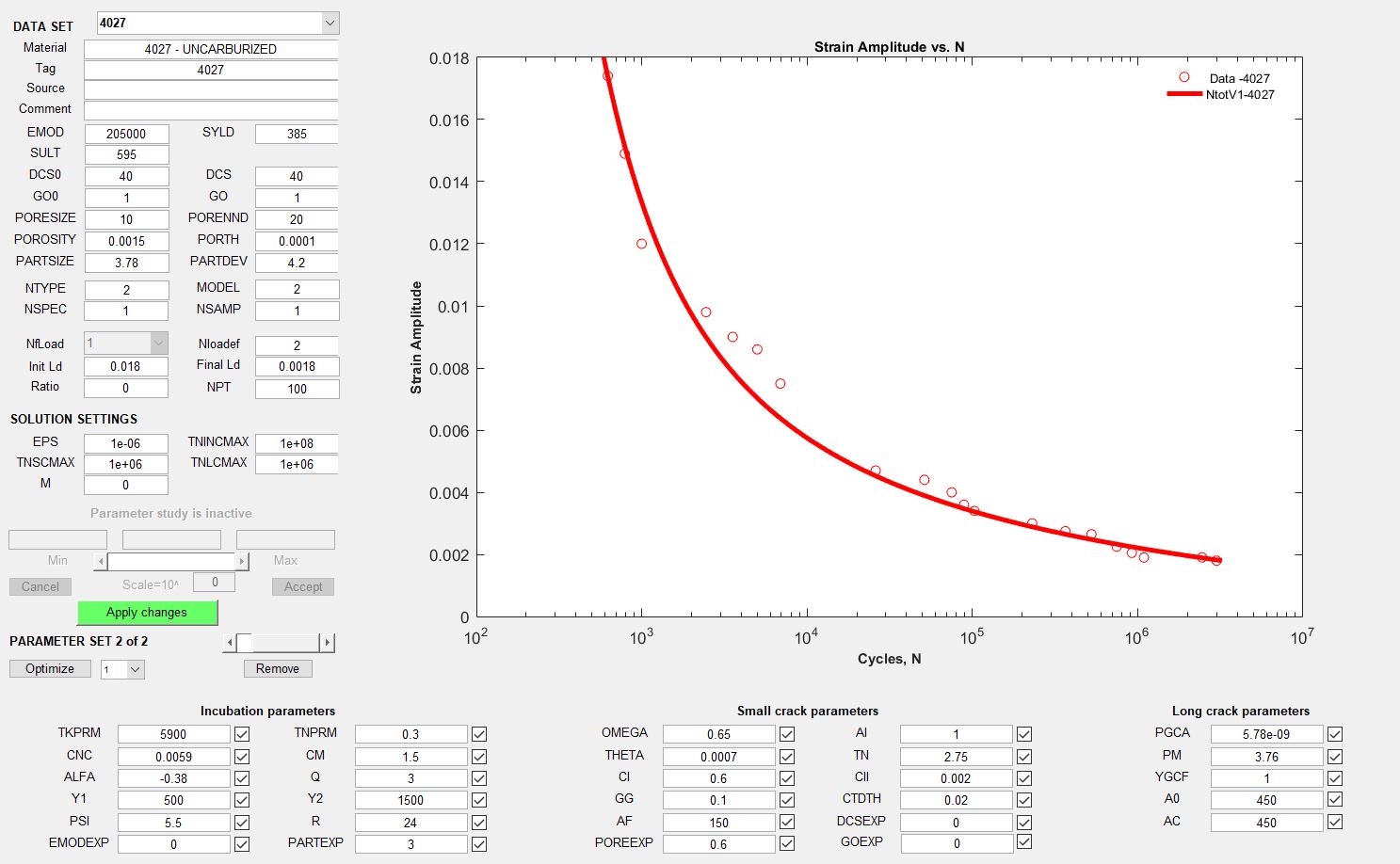
4027 UN-CARBURIZED MSF MODEL CALIBRATION
4027 UN-CARBURIZED MSF MODEL
REFERENCES
H. E. Boyer, “Atlas of Fatigue Curves,” p. 518, 1985.
Personal tools
130.18.14.239
Talk for this IP address
Log in
Namespaces
Page
Discussion
Variants
Views
Read
View source
View history
Actions
Search
home
Home
About
Editing ICME
Category Index
Materials
Metals
Ceramics
Polymers
Biomaterials
Geomaterials
Joints
Characterization
Material Models
Astronomical Scale
Geoscale
Structural Scale
Macroscale
Mesoscale
Microscale
Nanoscale
Electronic Scale
Design
Process Models
Performance Models
Optimization
Uncertainty
Metamodeling
Resources
Experimental Data
Repository of Codes
Animations
Equipment at CAVS
Projects
ICME
SRCLID
ACC
Mission Eggcellence
Education
Mississippi State U.
Missouri S&T
Northwestern U.
Louisiana State U.
U. of Nevada
Worcester Poly. Inst.
U. of Oklahoma
India Inst. Tech. Hyperabad
Mahindra Centrale
India Inst. Tech. Roorkee
Toolbox
What links here
Related changes
Special pages
Printable version
Permanent link