AA7050-T7651

From EVOCD
Jump to: navigation, search

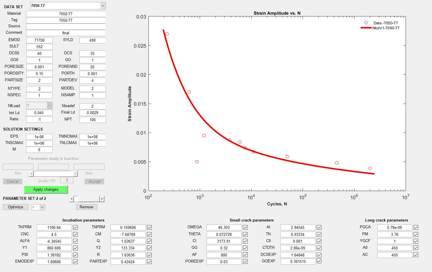
7050-T7 MSF CALIBRATION

7050-T7 MSF CALIBRATION.JPG

7050-T7 MSF MODEL

7050-T7 MSF MODEL.JPG

REFERENCES


[1] H. E. Boyer, “Atlas of Fatigue Curves,” p. 518, 1985.
[2] Atlas of Stress-Strain Curves, Second. Materials Park, OH: ASM INTERNATIONAL.

Personal tools
Namespaces

Variants
Actions
home
Materials
Material Models
Design
Resources
Projects
Education
Toolbox