AA6061-T651

From EVOCD
Jump to: navigation, search

Contents

MSF Calibration for 6061-T651 Aluminum Alloy

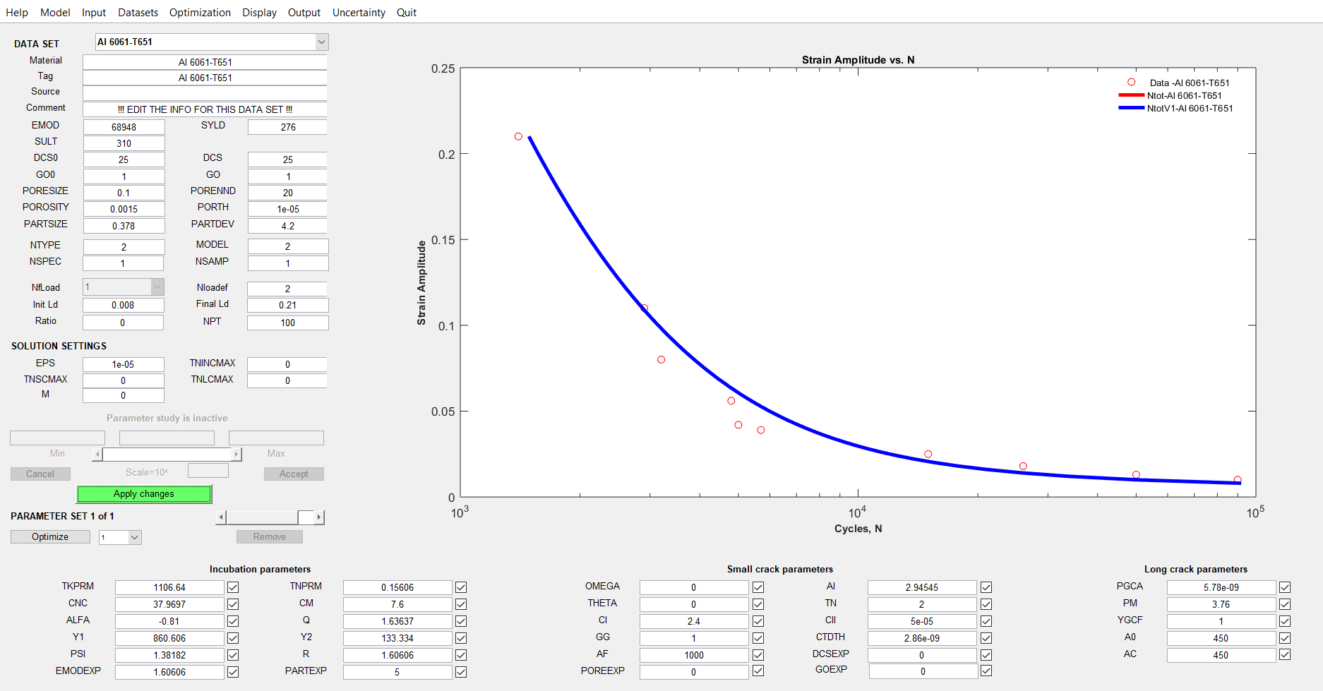
MSF Figure

MSF Figure, Strain-Life

Data File

File:Al 6061-T651 Input.data.txt

File:Al 6061-T651 Output.txt

Reference

Adnan N. Abood, Ali H. Saleh, Zainab W. Abdullah (2013). Effect of Heat Treatment on Strain Life of Aluminum Alloy AA 6061. Journal of Materials Science Research. Vol 2. No 2. Retrieved from http://dx.doi.org/10.5539/jmsr.v2n2p51

Personal tools
Namespaces

Variants
Actions
home
Materials
Material Models
Design
Resources
Projects
Education
Toolbox