AA6061-T4

From EVOCD
Jump to: navigation, search

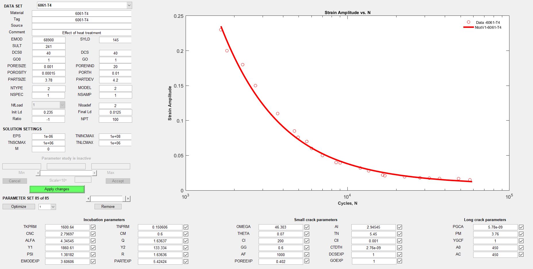
6061-T4 MSF MODEL CALIBRATION


6061-T4 MSF CALIBRATION.JPG

6061-T4 MSF MODEL


6061-T4 MSF MODEL.JPG

REFERENCES


A. Abood, “Effect of Heat Treatment on Strain Life of Aluminum Alloy AA 6061,” J. Mater. Sci. Res., vol. 2, no. 2, p. 51, 2013.

Personal tools
Namespaces

Variants
Actions
home
Materials
Material Models
Design
Resources
Projects
Education
Toolbox