7020-T6

From EVOCD
Jump to: navigation, search

Contents

MSF Calibration for 7020-T6 AA

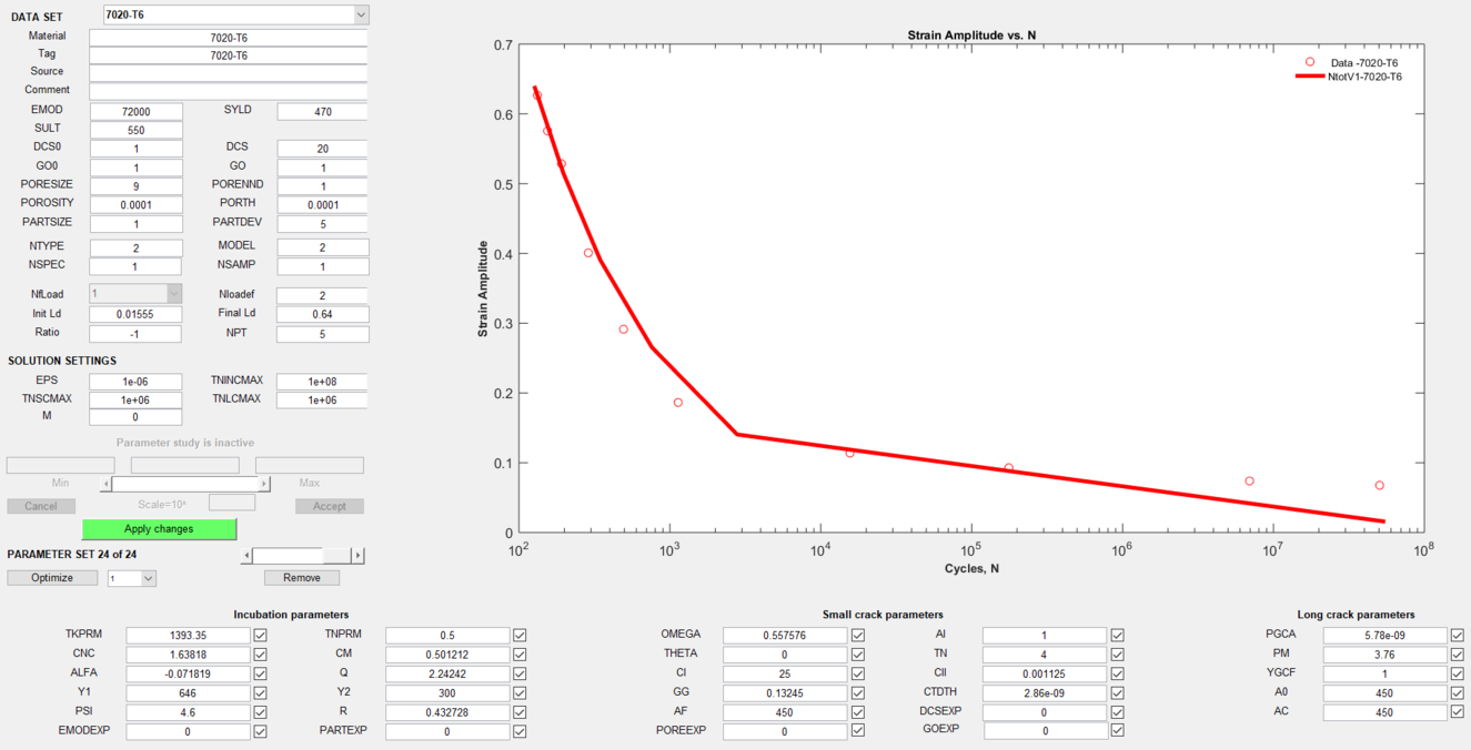
MSF Calibration Screenshot

7020-T6 AA MSF Calibration Screenshot.PNG

Input and Output Files

File:7020-T6 Input.data.txt [1]

File:7020-T6 output MSF2.txt

References

  1. Haji, Zyad Nawaf. “Low Cycle Fatigue Behavior of Aluminum Alloys AA2024-T6 and AA7020-T6.” Diyala Journal of Engineering Sciences, 22 Dec. 2010, pp. 127–137.
Personal tools
Namespaces

Variants
Actions
home
Materials
Material Models
Design
Resources
Projects
Education
Toolbox