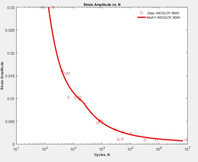
6 NiCr 32 20 INCOLOY 800H
From EVOCD
Contents |
6 NiCr 32 20 INCOLOY 800H
MSF Model Curve
MSF Model Parameters
Input File
File:InputINCOLOY800H.data.txt
Output file
Reference
Boller, CHR.; Seeger, T., "Materials Data For Cyclic Loading Part C: High-Alloy Steels". Amsterdam: Elsevier Science Publishers B.V, 1987. Google Books. Web. 1 Apr.
2018 http://books.google.com"
