41MnM4B Low Alloy Steel
From EVOCD
All material data used in this MSF calibration was gathered through Google Books.[1]
Contents |
MSF Calibration
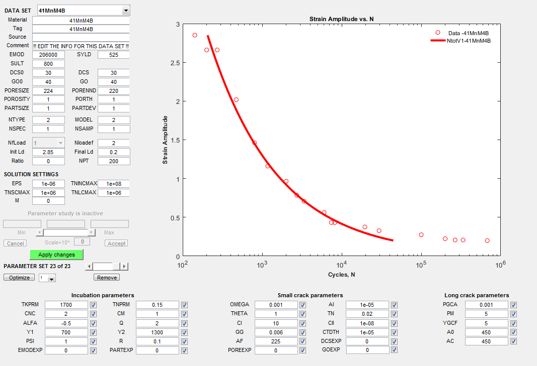
MSF Screen Capture
Input
Output
File:41CrM4B Post MSF2.data.txt
References
- ↑ Boller, CHR.; Seeger, T., "Materials Data For Cyclic Loading Part B: Low-Alloy Steels". Amsterdam: Elsevier Science Publishers B.V, 1987. Google Books. Web. 16 Mar. 2018 http://books.google.com

