403 SS

From EVOCD
Jump to: navigation, search

Contents

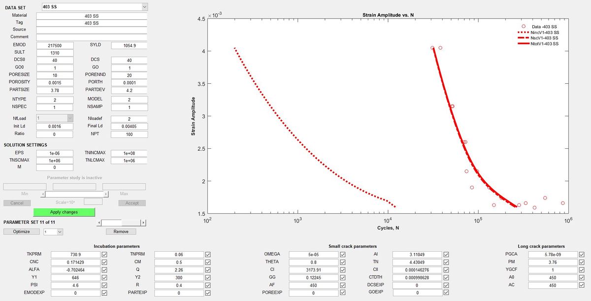
MSF Calibration

403SS Cal Param.JPG

Input

File:403SS.txt

Output

File:403SS MSF2.txt

References

[1] H. F. Hardrath, C. B. Landers, and E. C. Utley Jr., “Axial-Load Fatigue Tests on Notched and Unnotched Specimens of 61S-T6 Aluminum Alloy, Annealed 347 Stainless Steel, and Heat-Treated 403 Stainless Steel,” 1953.

Personal tools
Namespaces

Variants
Actions
home
Materials
Material Models
Design
Resources
Projects
Education
Toolbox