17-4 PH (SLM)

From EVOCD
Jump to: navigation, search

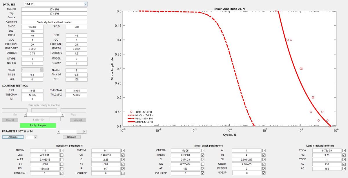
MSF Calibration

17-4PH Cal Param.JPG

Files

File:17-4PH MSF2.txt

References

[1] A. Yadollahi, N. Shamsaei, S. M. Thompson, A. Elwany, and L. Bian, “Effects of building orientation and heat treatment on fatigue behavior of selective laser melted 17-4 PH stainless steel,” Int. J. Fatigue, vol. 94, pp. 218–235, 2017.

Personal tools
Namespaces

Variants
Actions
home
Materials
Material Models
Design
Resources
Projects
Education
Toolbox