11 NiCrMo 4 8 20 HASTELLOY

From EVOCD
Jump to: navigation, search

Contents

11 NiCrMo 4 8 20 HASTELLOY


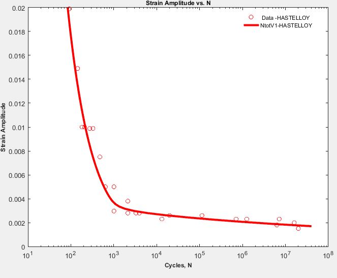
MSF Model Curve


CurveHASTELLOY.JPG

MSF Model Parameters


ParametersHASTELLOY.JPG

Input File


File:InputHASTELLOY.data.txt

Output file


File:HASTELLOY MSF2.txt

Reference

Boller, CHR.; Seeger, T., "Materials Data For Cyclic Loading Part C: High-Alloy Steels". Amsterdam: Elsevier Science Publishers B.V, 1987. Google Books. Web. 1 Apr. 2018 http://books.google.com"


Personal tools
Namespaces

Variants
Actions
home
Materials
Material Models
Design
Resources
Projects
Education
Toolbox