File:Al 6061-T651 MSF Figure.PNG

From EVOCD
Revision as of 18:54, 1 April 2018 by Fk140 (Talk | contribs)

(diff) ← Older revision | Latest revision (diff) | Newer revision → (diff)
Jump to: navigation, search
Full resolution(1,874 × 979 pixels, file size: 73 KB, MIME type: image/png)

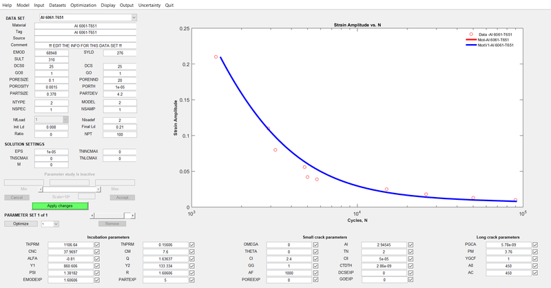
MSF Calibration for 6061-T651 Aluminum Alloy

File history

Click on a date/time to view the file as it appeared at that time.

Date/TimeThumbnailDimensionsUserComment
current18:54, 1 April 2018Thumbnail for version as of 18:54, 1 April 20181,874 × 979 (73 KB)Fk140 (Talk | contribs)MSF Calibration for 6061-T651 Aluminum Alloy

The following page links to this file:

Personal tools
Namespaces

Variants
Actions
home
Materials
Material Models
Design
Resources
Projects
Education
Toolbox