Ti-6Al-4V

From EVOCD
Revision as of 11:17, 5 April 2018 by Md830 (Talk | contribs)

(diff) ← Older revision | Latest revision (diff) | Newer revision → (diff)
Jump to: navigation, search

Contents

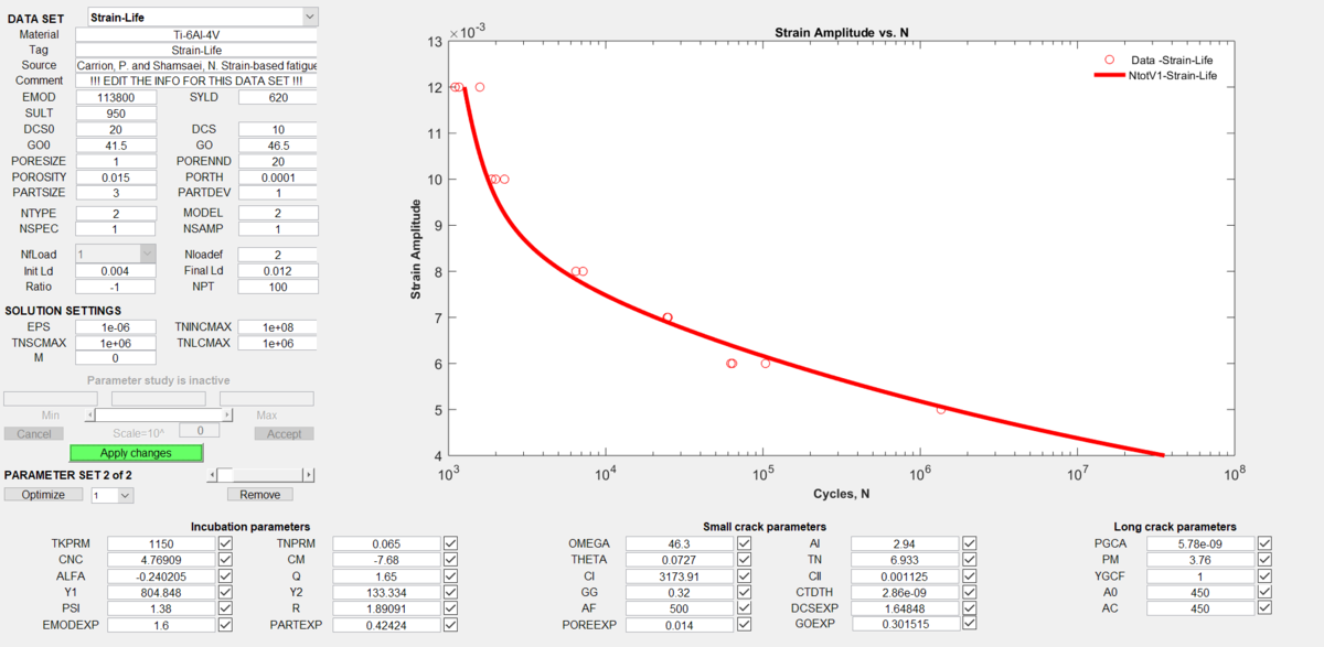
MSF Calibration

Ti-6Al-4V Screenshot.PNG

Input

File:Ti-6Al-4V Data.txt

Output

File:Ti-6Al-4V Output MSF2.txt

References

Carrion, P. and Shamsaei, N. Strain-based fatigue data for Ti–6Al–4V ELI under fully-reversed and mean strain loads. 2016.

Personal tools
Namespaces

Variants
Actions
home
Materials
Material Models
Design
Resources
Projects
Education
Toolbox