Polyethylene 50kGy

From EVOCD
Revision as of 12:38, 6 April 2018 by Keb431 (Talk | contribs)

(diff) ← Older revision | Latest revision (diff) | Newer revision → (diff)
Jump to: navigation, search

Contents

Stress Life Curve

Original Stress-Life Curve.JPG

Stress Strain Curve

Original Stress-Strain Curve.JPG

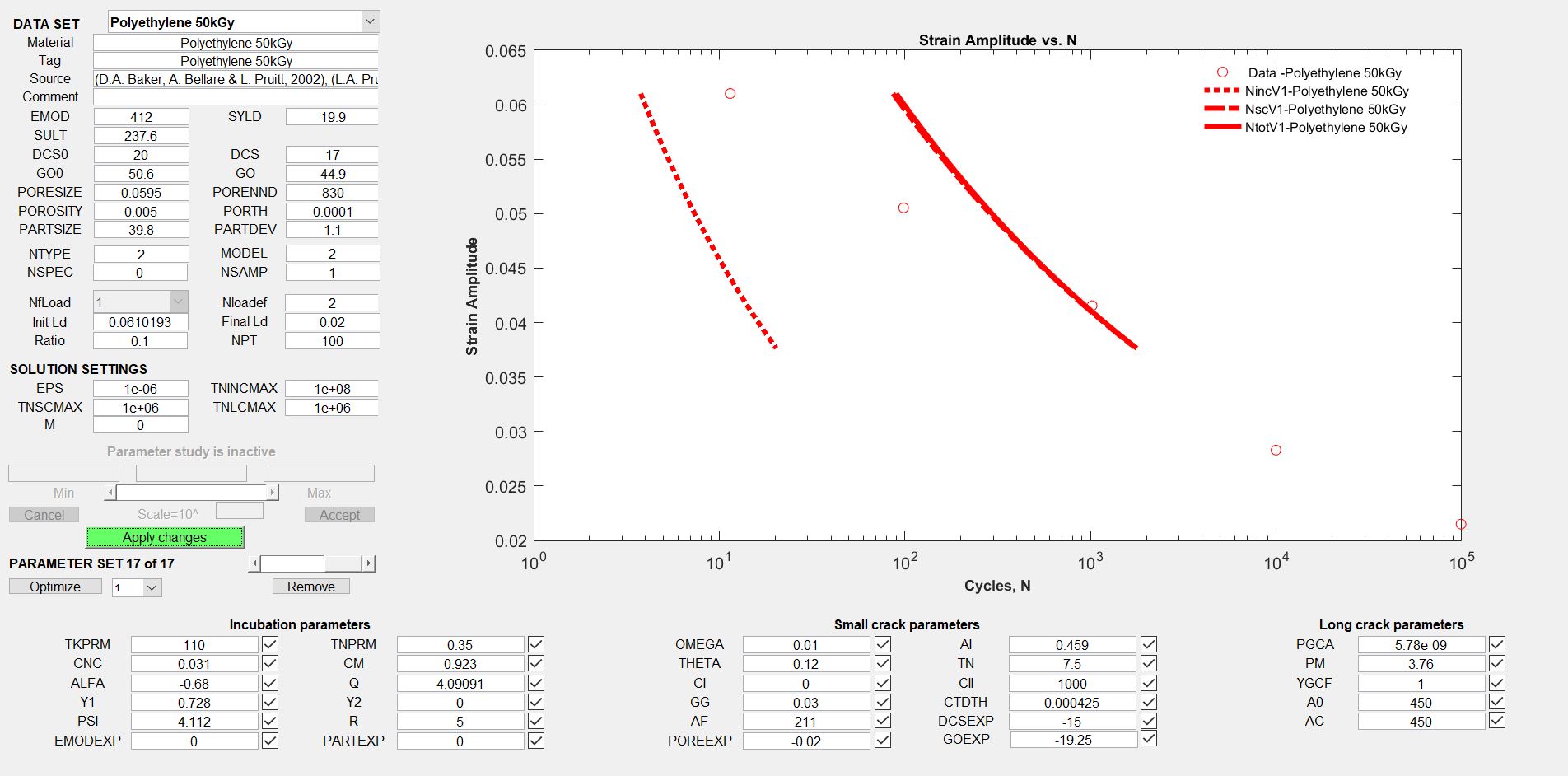
MSF Model Calibration

Polyethylene 50kGy MSF Model Calibration.JPG

Input Data File

Media:Polyethylene 50kGy INPUT.txt

References

Baker D. A., Bellare A., and Pruitt L. 2003. “The Effects of Degree of Crosslinking on the Fatigue Crack Initiation and Propagation Resistance of Orthopedic‐grade Polyethylene.” Journal of Biomedical Materials Research Part A 66A (1): 146–54. https://doi.org/10.1002/jbm.a.10606.


Hughes, J. M., M. Lugo, J. L. Bouvard, T. McIntyre, and M. F. Horstemeyer. 2017. “Cyclic Behavior and Modeling of Small Fatigue Cracks of a Polycarbonate Polymer.” International Journal of Fatigue 99 (June): 78–86. https://doi.org/10.1016/j.ijfatigue.2016.12.012.


Pruitt, Lisa A. 2005. “Deformation, Yielding, Fracture and Fatigue Behavior of Conventional and Highly Cross-Linked Ultra High Molecular Weight Polyethylene.” Biomaterials 26 (8): 905–15. https://doi.org/10.1016/j.biomaterials.2004.03.022.

Personal tools
Namespaces

Variants
Actions
home
Materials
Material Models
Design
Resources
Projects
Education
Toolbox