Material Models for Magnesium Extrusion
Contents |
Sine Hyperbolic Inverse Law
Sine Hyperbolic Inverse law is among the material models implemented in HyperXtrude solver. It predicts a constant/ steady-state flow stress for various strain rates and temperature. Unless modified, this model does not account for strain-dependence and hence cannot predict stress softening. This law, by far, is the most widely used [1] to describe thermo-viscoplastic behavior of metals during hot deformation and is written as follows:
|
AM30
AM30 stress-strain curves are shown below:
AZ61
AZ61 stress-strain curves are shown below:
Texture and Twinning Data
The initial texture of an extruded AM30 magnesium alloy measured by X-ray diffraction (XRD)at 450C is presented in Figure 1. As shown in Figure 1, the AM30 alloy has a strong {10-10}||ED (extrusion direction) fiber component which favors {10-12}<10-11> extension twinning. As such, extension twinning activated even at temperature of 450C. Figure 2 displays optical microscopy (OM) pictures of AM30 uniaxial compression along ED and ER at 450C and strain rate 0.5/s and 0.8/s which show lenticular of extension twins. The EBSD inverse pole figure (IPF) map of AM30 compression along ED at 450C and 0.1/s clearly proves the extension twins presence. The ~90 degree rotation in the {0001} pole figure in Figure 3 prove the thin lamella in red are the {10-12}<10-11> extension twins.
One State Variable Material Model of AZ61:
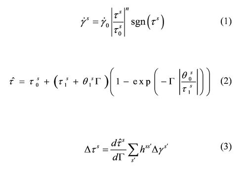
VPSC Model at Crystal Level
Prediction of the local stress and texture of the extruded product is considerable important for property control and processing optimization in Mg extrusion. Benefitting the polycrytal plasticity modelings and the necessary experimental results, the local stress, texture and deformation modes' behavior along extrusion can be successfully predicted. In this study, we mainly use Visco-plastic self-consistent model (VPSC) [3] and an extended Voce hardening rule to predict stress and texture.In brief, VPSC considers a series of orientations representing the polycrystalline grains and the weights representing grain volume fractions. Each grain interacts with an average medium which is represented by all grains in a global way.The slip/twinning rate is related to the resolved shear stress via a power law as Equation 1. The resolved shear stress involves with accumulated shear strain in the form of Equation 2. In addition, the "self" and "latent" hardening effect is considered as Equation 3.
The schematic flow chart of extrusion prediction of Mg is presented in Figure 1 as below. The measured and VPSC predicted simple compression true stress-strain curves along two perpendicular directions (extrusion and extrusion radial direction)are presented in Figure 2. The predicted local stress along different positions,or streamline in the center, middle, and edge of the conical die during extrusion at 450C are presented in Figure 3. The VPSC predicted local texture showing in {0001} and {10-10} pole figures and the EBSD measured texture results are presented in Figure 4.
References
1. H. J. McQueen, N. D. Ryan, 2002, Constitutive analysis in hot working, Materials Science and Engineering A, Volume 322, Issues 1-2, 15 January 2002, Pages 43-63
2. F.A. Slooff, J. Zhou, J. Duszczyk, L. Katgerman, 2008, Strain-dependent constitutive analysis of three wrought Mg-Al-Zn alloys, J. Mater. Sci., 43:7165-7170
3. R.A. Lebensohn, C.N. Tome, 1993, Self-consistent anisotropic approach for the simulation of plastic deformation and texture development of polycrystals: application to zirconium alloys, Acta Mater., 41:2611-2624
