Hi-Form 50 Steel

From EVOCD
Revision as of 18:05, 24 March 2018 by Ry200 (Talk | contribs)

(diff) ← Older revision | Latest revision (diff) | Newer revision → (diff)
Jump to: navigation, search

Contents

Strain Life Curve

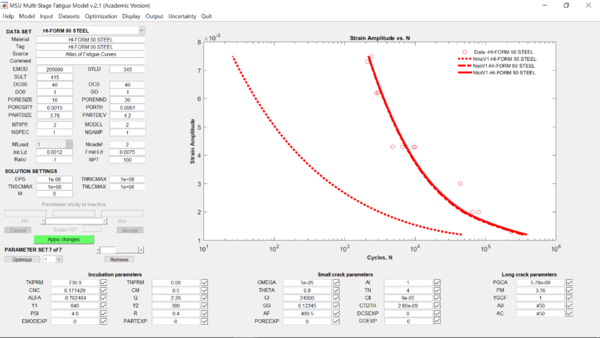
Hi-Form 50 Steel Strain Life Curve

MSF Model

Hi-Form 50 Steel MSF Model

Data Files

Input File

File:Hi-Form 50 Steel MSF Model Input.txt

Output File

File:Hi-Form 50 Steel MSF Model Output.txt

Reference

Boyer, H.E. (1986). Atlas of Fatigue Curves. Metals Park, OH: American Society for Metals

Personal tools
Namespaces

Variants
Actions
home
Materials
Material Models
Design
Resources
Projects
Education
Toolbox