HSLA Steel- Cb

From EVOCD
Revision as of 14:08, 30 March 2018 by Ktantration (Talk | contribs)

(diff) ← Older revision | Latest revision (diff) | Newer revision → (diff)
Jump to: navigation, search

Contents

MSF Calibration

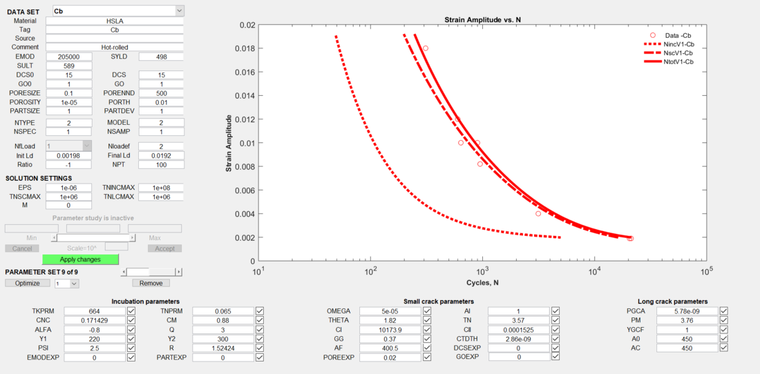
Capture-HSLA-Cb-MSF.PNG

MSF Figure

MSF-Figure-HSLA-Cb.PNG

Input File

File:HSLACb input.txt

Post-processing File

File:HSLA-Cb-output MSF2.txt

Reference

H. E. Boyer, “Atlas of Fatigue Curves,” p. 518, 1985.

Personal tools
Namespaces

Variants
Actions
home
Materials
Material Models
Design
Resources
Projects
Education
Toolbox