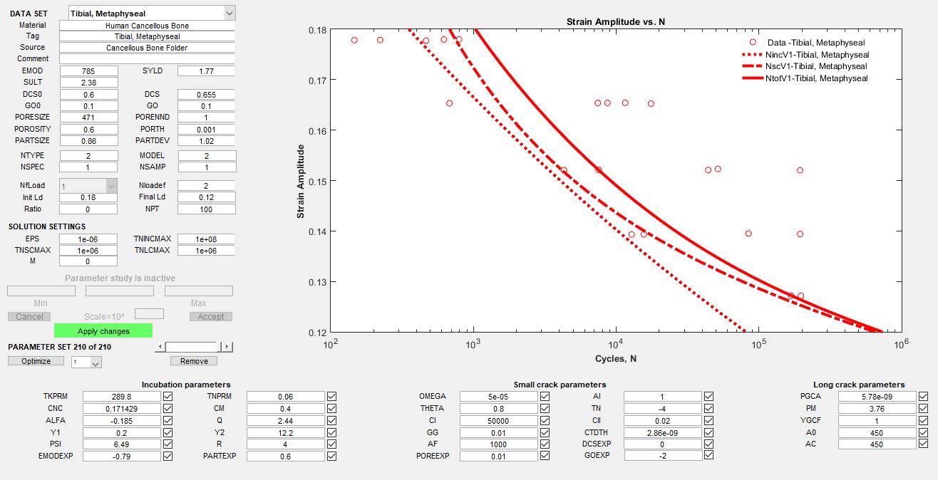
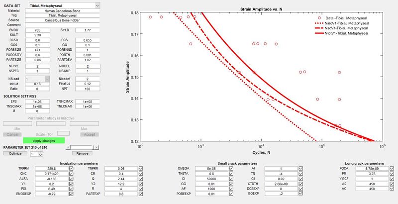
File:Cancellous bone complete data.JPG

From EVOCD
Revision as of 14:34, 12 April 2018 by Akp4 (Talk | contribs)

(diff) ← Older revision | Latest revision (diff) | Newer revision → (diff)
Jump to: navigation, search
Full resolution(1,316 × 674 pixels, file size: 119 KB, MIME type: image/jpeg)

File history

Click on a date/time to view the file as it appeared at that time.

Date/TimeThumbnailDimensionsUserComment
current14:34, 12 April 2018Thumbnail for version as of 14:34, 12 April 20181,316 × 674 (119 KB)Akp4 (Talk | contribs)

The following page links to this file:

Personal tools
Namespaces

Variants
Actions
home
Materials
Material Models
Design
Resources
Projects
Education
Toolbox