D6AC Steel

From EVOCD
Revision as of 23:10, 4 April 2018 by Nag147 (Talk | contribs)

(diff) ← Older revision | Latest revision (diff) | Newer revision → (diff)
Jump to: navigation, search

Contents

MSF Figure

D6AC.MSF.Figure.PNG

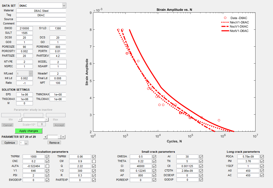
MSF Screenshot

D6AC.MSF.Screen.PNG

Input File

File:D6ac.input MSF2.txt

Output File

File:D6ac.output MSF2.txt

Reference

Mann, J. Y., and D. S. Kemsley. “The Effects of Very Dry and Fully Water Saturated Air Environments on the Fatigue Life of D6AC Steel Under Constant and Variable Amplitude Loading Sequences.” Corrosion, vol. 35, no. 10, 1979, pp. 465–471.,

Personal tools
Namespaces

Variants
Actions
home
Materials
Material Models
Design
Resources
Projects
Education
Toolbox